Torsion angle of twist example - Strength of Material
Sunday, April 21, 2013
Saturday, April 20, 2013
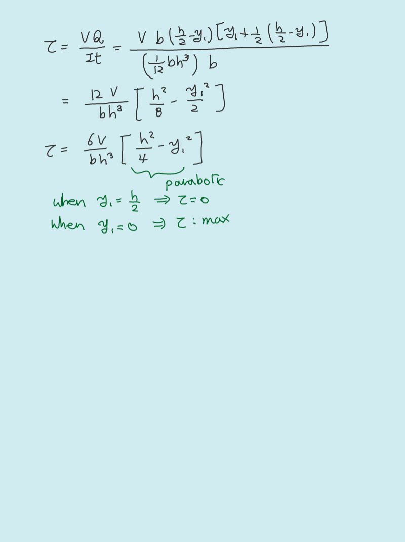
Transverse shear stress
Search structurefree in youtube
All credit goes to him I'm just bogging. That's all :)
I hope he doesn't mind.
Saturday, April 13, 2013
Explanation of amu
The Mole and Avogadro's Number
The name mole (German Mol) is attributed to Wilhelm Ostwald who introduced the concept in the
year 1902. It is an abbreviation for molecule (German Molekül), which is in turn derived from Latin
moles "mass, massive structure". (From the Wikipedia article on the mole unit.)
A good site that introduces the mole concept and includes sample calculations and practice problems
can be found here, from John Park's excellent ChemTeam site.
For some interesting background on Avogadro's number, see here. By T.A. Furtsch, Tennessee
Technological University, Cookeville, TN.
Don't miss the interview with Count Amedeo Avogadro and his wife the Countess Felicita, located
here (thanks to Kory Tonouchi, Roosevelt High, Honolulu, HI).
Avogadro's 1811 publication, "Essay on a Manner of Determining the Relative Masses of the
Elementary Molecules of Bodies, and the Proportions in Which They Enter into These
Compounds", may be found here (thanks to Carmen Giunta, Le Moyne College, Syracuse, NY).
A fun "mole" page to visit is here. It is a collection of student projects from Carondelet High School.
Back in '98 they had a mole mystery described here.
Did you know we have a mole day? Find out about it here. And for some corny mole jokes, don't
miss the Dictionary of Mole Day Terms & Jokes here!
Introduction
A mole of objects contains Avogadro's number, 6.022 X 1023, objects. Just as a dozen apples is 12
apples, a mole of apples is 6.022 X 1023 apples. A mole of iron atoms is 6.022 X 1023 iron atoms. A
mole of water molecules is 6.022 X 1023 water molecules.
The NIST 2007 value of Avogadro's number is 6.022 141 79 ± 0.000 000 30 X 1023 mol–1
. For most
calculations, a rounded value of 6.022 X 1023 (four significant figures) is satisfactory.
This is an incredibly large number. A mole of say, grapefruit, stacked together, would occupy the
volume of the entire planet earth! And yet a mole of water molecules is in only about 18 milliliters of
water. Since atoms and molecules are so small, there are gigantic numbers of them in ordinary gram
quantities of substances such as what we weigh and use in the chemistry lab.
AMUs, Grams, and Moles
The value of Avogadro's number is actually chosen arbitrarily, based on the definition of the atomic
mass unit, amu or u. By definition, a single carbon-12 atom weights 12 amu exactly. Therefore,
one amu is one-twelfth the mass of a single carbon-12 atom.
Now, how many carbon-12 atoms would weigh exactly 12 grams?From experiment, the actual mass of a single carbon-12 atom in grams has been determined. For
example, using the method of mass spectrometry, the mass of a single carbon-12 atom has been
measured to be about 1.993 X 10–23 g. From this we can calculate the number of carbon-12 atoms in
12 grams of carbon-12:
12 g X 1 carbon-12 atom = 6.021 X 1023 carbon-12 atoms
1 1.993 X 10–23 g
(from Clugston and Flemming, Advanced Chemistry)
This is the basis of Avogadro's number. Better experimental methods have yielded the more accurate
value of Avogadro's number we have today.
By definition, 12 grams of carbon-12 contain one mole, or Avogadro's number of, carbon-12
atoms.
We can also relate the two mass scales, grams and amu, as follows:
6.022 X 1023 atoms of carbon-12 X 12 amu = 6.022 X 1023 amu / g.
12 g 1 atom of carbon-12
That is, 1 g = 6.022 X 1023 amu.
The average weight of a carbon atom found in nature is a little more than 12 amu, actually
12.0107 amu, because there is a small amount of heavier carbon-13 atoms present.
We can calculate the average weight of one mole of carbon atoms as follows:
1 mole C X 6.022 X 1023 C atoms X 12.0107 amu X 1 g = 12.0107 grams
1 mole C C atom 6.022 X 1023 amu
As we have with carbon-12, the weight of a single carbon atom, on average, is 12.0107 amu, and
one mole of carbon atoms weighs 12.0107 grams, the same number.
What about other elements, does the same relationship hold? Indeed yes, the proportions of the
weight of a single atom of carbon compared to a single atom of, say, iron is the same, whether we are
comparing the weights of single atoms, one dozen atoms, or one mole of atoms. For example, it is
known from experiment that, on average, an iron atom is 4.6496 times more massive than a carbon
atom, which is 55.845 amu per iron atom. By proportion, one dozen iron atoms will be 4.6496 times
more massive than one dozen carbon atoms. Likewise, one mole of iron atoms will be 4.6496 times
more massive than one mole of carbon atoms, which is 55.845 grams per mole of iron atoms.
We therefore have two types of units for atomic weights, molecular weights, and formula weights:
1) amu per single atom, molecule, or formula unit
A single iron atom weighs 55.845 amu, or 55.845 amu / atom
A single water molecule weighs 18.0153 amu, or 18.0153 amu / molecule
A single "unit" or "formula unit" of NaCl weighs 58.443 amu, or 58.443 amu / formula unit2) grams per mole of atoms, molecules, or formula units
One mole of iron atoms weighs 55.845 g, or 55.845 g / mol
One mole of H2O molecules weighs 18.0153 g, or 18.0153 g / mol
One mole of NaCl formula units weighs 58.443 g, or 58.443 g / mol
In general, we can refer to the weight of one mole of a pure substance as its molar mass. If the
substance is an element such as iron, the molar mass is the atomic weight of the substance. If the
substance is molecular, like H2O, we can call the molar mass the molecular weight of the substance.
If the substance is ionic, rather than molecular, we can refer to the molar mass as the "formula
weight" of the substance.
Since most chemical calculations involve converting between grams and moles, you should get
into the habit of using g/mol units (and showing them in your work!). You will only occasionally need
to use atomic mass units in calculations.
Important Formulas
The important calculation formulas to memorize are
moles = grams / molar mass
and rearranging,
grams = moles X molar mass
We use these two formulas more than any others in chemistry, because so often we are required to
convert from grams to moles and moles to grams in chemical calculations.Sample Calculations
Example 1. How many moles of iron are in 50.0 g of iron?
a) Plug in to the mole formula, moles = 50.0 g = 0.895 mol
55.845 g/mol
b) Or, you can do the calculation like a conversion problem:
50.0 g X 1 mol = 0.895 mol
1 55.845 g
Example 2. How many moles of carbon atoms and oxygen atoms are in 0.250 mol of CO2 ?
Here we just have to look at the formula. Since one molecule of CO2 contains one carbon atom, one
mole of CO2 molecules will contain one mole of carbon atoms. If we have 0.250 mol of CO2, there will
be 0.250 mol of carbon atoms present.
0.250 mol of CO2 X 1 mol of C = 0.250 mol of C atoms
1 1 mol of CO2
Since there are two oxygen atoms in one CO2 molecule, there are 2 X 0.250 mol = 0.500 mol of
oxygen atoms present in this amount:
0.250 mol of CO2 X 2 mol of O = 0.500 mol of O atoms
1 1 mol of CO2
Example 3. How many moles of copper atoms are in a copper penny weighing 3.10 g ? How many
copper atoms are in the penny?
moles = 3.10 g / 63.546 g/mol = 0.0488 mol
number of Cu atoms = 0.0488 mol X 6.022 X 1023 atoms = 2.94 X 1022 atoms
1 1 mol
Example 4. A chemistry class has 15 men and 17 women in it. How many moles of students are in
the class?
OK, that's not something we need to know every day, but can you do the calculation? Of course!
32 students X 1 mol = 5.314 X 10–23 mol
1 6.022 X 1023 studentsExample 5. How much do 1.00 X 1012 (a trillion) gold atoms weigh in grams?
1.00 X 1012 atoms X 1 mol X 196.967 g = 3.27 X 10–10 g
1 6.022 X 1023 atoms mol
Example 6. The mass of the earth is 5.98 X 1024 kg. The mass of a baseball is 145 g. How many
baseballs would have a mass equal to the mass of the earth? What is this number in moles?
5.98 X 1024 kg X 1 baseball = 4.12 X 1025 baseballs
1 0.145 kg
4.12 X 1025 baseballs X 1 mol = 68.5 moles
1 6.022 X 1023 baseballs
Example 7. A 6.00 M solution of HCl contains 6.00 mol of HCl per liter of solution. How many moles
of HCl are in 125 mL of this solution?
0.125 L X 6.00 mol = 0.750 mol
1 1 L
Example 8. What is the mass in grams of 0.100 mol of glucose, C6H12O6 ?
grams = moles X molar mass = 0.100 mol X 180.156 g/mol = 18.0 g
Example 9. A sample of a certain hydrocarbon contains 0.090 mol of carbon and 0.36 mol of
hydrogen. What is the empirical formula of the compound?
The subscripts in formulas are the relative numbers of each element in the compound. For example,
one mole of C6H12O6 contains 6 moles of carbon atoms, 12 moles of hydrogen atoms, and 6 moles of
oxygen atoms.
The empirical formula is the simplest formula with whole-number subscripts. The empirical formula of
the hydrocarbon is "C0.090H0.36". To convert to whole-number subscripts, divide each number of moles
by the smallest value, which is 0.090. That gives C1H4 or CH4 as the empirical formula.
Example 10. Analysis of a compound showed it to be 40.0% C, 6.7% H, and 53.3% O by mass.
What is the empirical formula of the compound?
First, for simplicity, assume you have 100 g of compound. Then, it contains 40.0 g of carbon, 6.7 g of
hydrogen, and 53.3 g of oxygen. That's convenient! Now convert each amount to moles in order to
get an empirical formula as in Example 9:
moles of C = 40.0 g / 12.0107 g/mol = 3.33 mol
moles of H = 6.7 g / 1.00794 g/mol = 6.7 mol
moles of O = 53.3 g / 15.9994 g/mol = 3.33 mol
This gives "C3.33H6.7O3.33" which we can divide through by 3.33 to obtain the empirical formula CH2O.Exercises
Some more practice problems can be found here (choose "Chapter 24 The Mole" when you get
there.) You may have to cover part of your screen because the answers are right by the questions!
(No peeking until you've first worked on the problem yourself!) These problems are from Don Voyce's
chemistry site at the University of Hawai'i Kapi`olani Community College.
1. How many moles of the substance are in the following amounts?
a) 2.50 g of lead
b) 5.00 g of KBr
c) 3.75 g of Ca3(PO4)2
d) 10.00 g of CH3CH2CH2CH2CH2CH3
e) 15.00 g of CuSO4 • 5 H2O
f) a cube of copper metal with an edge length of 1.00 in. The density of copper is 8.92 g/cm3
.
2. How many atoms, molecules, or formula units of the substance are in the following amounts?
a) 3.50 mol of O2
b) 2.75 g of S8
c) 5.50 g of C12H22O11
d) 5.00 g of Al(NO3)3
e) 5.00 mL of ethanol, CH3CH2OH, density = 0.790 g/mL
f) a sphere of chromium metal, 0.343 mm in diameter. The density of chromium is 7.20 g/cm3
.
3. How many moles of phosphate ions are in 1.00 lb of Ca3(PO4)2 ?
1 lb = 453.59237 g exactly
4. A student performed an experiment to determine the molecular weight of a gaseous compound.
Using the ideal gas law PV = nRT, and knowing the pressure, temperature, and volume of the vapor,
the student calculated the number of moles of gas, n, to be 0.0443 mol. The weight of the gas was
1.42 g. What is the molecular weight of this compound?
5. The stratosphere contains approximately 3 billion kilograms of ozone, O3. How many moles of
ozone is this?
6. At the end of the 18th century, a kilogram was defined as the mass of exactly one cubic decimeter
of water at the temperature where the density of water is at a maximum (now known to be 0.999972
g/cm3
at 3.98 °C and 1 atm pressure; see http://www.sizes.com/units/kilogram.htm). How many
moles of water is this?
7. How many moles of water are in a snowflake weighing 5.0 X 10–5
g ? How many of these
snowflakes would it take to have 1.0 kg of ice?
8. What is the percent by mass of carbon in sucrose, C12H22O11 ?
9. What is the empirical formula of a compound that is 21.2% nitrogen, 6.1% hydrogen, 24.3% sulfur,
and 48.4% oxygen by mass?
10. The mass of the earth is 5.98 X 1024 kg. How many moles of gold would have this mass? How
many moles of aluminum would have this mass?Answers
1. a) 0.0121 mol of Pb
b) 0.0420 mol of KBr
c) 0.0121 mol of Ca3(PO4)2
d) 0.116 mol of C6H14
e) 0.0601 mol of CuSO4 • 5 H2O
f) 2.30 mol of Cu
2. a) 2.11 X 1024 O2 molecules
b) 6.46 X 1021 S8 molecules
c) 9.68 X 1021 C12H22O11 molecules
d) 1.41 X 1022 Al(NO3)3 formula units
e) 5.16 X 1022 CH3CH2OH molecules
f) 4.76 X 1021 Cr atoms
3. 2.92 mol of PO4
3–
ions
4. 32.1 g/mol
5. 6 X 1010 mol of O3
6. 55.5068 mol of H2O using a molecular weight of 18.0153 g/mol
7. 2.8 X 10–6 mol of H2O, 2 X 107
or 20 million snowflakes
8. 42.1% carbon by mass
9. N2H8SO4 (ammonium sulfate)
10. 3.04 X 1025 moles of Au, 2.22 X 1026 mol of Al
Reference
http://learning.hccs.edu/faculty/steven.dessens/notes_and_practice/chem_1411/1411-practice-problems/mole
Wednesday, April 3, 2013
Monday, March 25, 2013
Nuclear material March 25 2013
Nuclear material Lecture
True stress vs Engineering stress
·
Nuclear material for waste problems
o
Containers
o
Containment system
·
Materials in space
o
Radiations damage
·
Alternative fuel design
o
Examining in detail something like HTR
o
UC2 fuel
o
SCWR from a material point of view
·
Shielding
Chapter 10 – Fuel performance:
x,q
Chapter 12 – behaviour of FRs
potential scenarios
Chapter 15 – fuel chemistry
Chapter 17,18 and 19
Monday, March 11, 2013
Monday, March 4, 2013
Assignment 3 solution 12-9 [James_J._Duderstadt,_Louis_J._Hamilton]_Nuclear_R
Monday, February 25, 2013
Monday, January 28, 2013
Fissile material VS Fertile material - Reactor Design
fissile material VS fertile material
There are fissonable materials.
- fissile material : fission
- fertile material : capture a neutron and decay(convert) to fissile material
In addition,
even number of atomic mass: stable(since the atoms are pair )
odd number of atomic mass: unstable(since the there is one odd atom is ready to therefore it occurs fission)
Thursday, January 24, 2013
Doubling time - exponential - Reactor Physics
What's up guys?
Today, we are going to cover exponential doubling time.
For those who haven't watched a video of the linear doubling time, please watch it before this video.
Subscribe to:
Comments (Atom)
.jpg)
